手指樹
注意
此章是選讀內容,在閲讀前請確定你對函數式編程(Functional Programming)有一定了解。
簡介
手指樹(Finger Tree)是一種 純函數式 數據結構,由 Ralf Hinze 和 Ross Paterson 提出。
為什麼需要手指樹
在函數式編程中,列表是十分常見的數據類型。對於基於序列的操作,包括在兩端添加和刪除元素(雙端隊列操作),在任意節點插入、連接、刪除,查找某個滿足要求的元素,將序列拆分為子序列,幾乎所有的函數型語言都支持。但是對於高效的更多操作,這些語言很難做到。即使有相對應的實現,通常也都非常複雜,實際很難使用。
而指狀樹提供了一種純函數式的序列數據結構,它可以在均攤常量時間(amortized constant time)內完成訪問,添加到序列的前端和末尾等操作,以及在對數時間(logarithmic time)內完成串聯和隨機訪問。除了良好的漸近運行時邊界外,手指樹還非常靈活:當與元素上的幺半羣標記(monoidal tag)結合時,指狀樹可用於實現高效的隨機訪問序列、有序序列、間隔樹和優先級隊列。
基本結構
手指樹在樹的「手指」(葉子)的地方存儲數據,訪問時間為分攤常量。手指是一個可以訪問部分數據結構的點。在命令式語言(imperative language)中,這被稱做指針。在手指樹中,「手指」是指向序列末端或葉節點的結構。手指樹還在每個內部節點中存儲對其後代應用一些關聯操作的結果。存儲在內部節點中的數據可用於提供除樹類數據結構之外的功能。
- 手指樹的深度由下到上計算。
- 手指樹的第一級,即樹的葉節點,僅包含值,深度為 \(0\)。第二級為深度 \(1\)。第三級為深度 \(2\),依此類推。
- 離根越近,節點指向的原始樹(在它是手指樹之前的樹)的子樹越深。這樣,沿着樹向下工作就是從葉子到樹的根,這與典型的樹數據結構相反。為了獲得這種的結構,我們必須確保原始樹具有統一的深度。在聲明節點對象時,必須通過子節點的類型進行參數化。深度為 \(1\) 及以上的脊椎上的節點指向樹,通過這種參數化,它們可以由嵌套節點表示。
將一棵樹變成手指樹
註釋
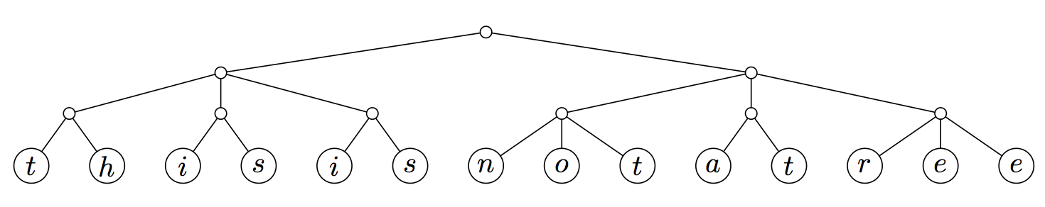
2-3 樹 是一種樹狀數據結構,其中每個帶有子節點(內部節點)的節點具有兩個子節點(\(2\) 節點)和一個數據元素或三個子節點(\(3\) 節點)和兩個數據元素。2-3 樹是 \(3\) 階 B 樹。樹外部的節點(葉節點)沒有子節點和一兩個數據元素。
我們將從平衡 2-3 樹開始這個過程。為了使手指樹正常工作,所有的葉節點需要是水平的。如下圖所示(圖片取自手指樹論文):

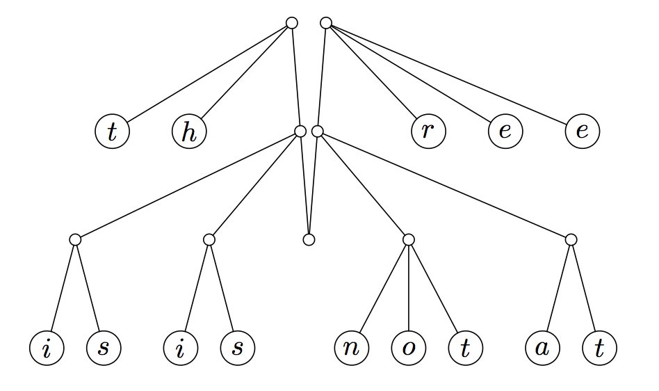
手指是「一種結構,可以有效地訪問靠近特定位置的樹的節點。」要製作手指樹,我們需要將手指放在樹的左右兩端,取樹的最左邊和最右邊的內部節點並將它們拉起來,使樹的其餘部分懸在它們之間,這為我們提供了對序列末尾的均攤常量訪問時間。

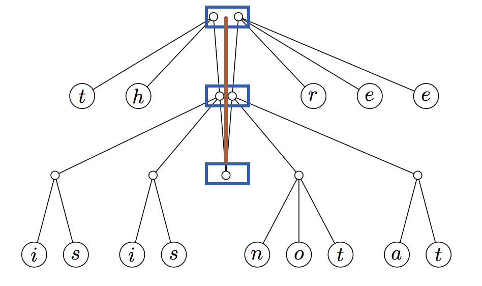
這種新的數據結構被稱為手指樹。手指樹由沿其樹脊(棕色線)分佈的幾層(下方藍色框)組成:

1 2 3 4 5 6 | |
示例中的數字是帶有字母的節點。每個列表由樹脊上每個節點的前綴或後綴劃分。在轉換後的 2-3 樹中,頂層的數字列表似乎可以有兩個或三個長度,而較低級別的長度只有一或兩個。為了使手指樹的某些應用程序能夠如此高效地運行,手指樹允許在每個級別上有 \(1\) 到 \(4\) 個子樹。手指樹的數字可以轉換成一個列表,如:
1 | |
頂層具有類型 \(a\) 的元素,下一層具有類型節點 \(a\) 的元素,因為樹脊和葉子之間的節點,這通常意味着樹的第 \(n\) 層具有元素類型為 \(Node^{n}\) \(a\),或 2-3 個深度為 \(n\) 的樹。這意味着 \(n\) 個元素的序列由深度為 Θ(log n) 的樹表示。距離最近端 \(d\) 的元素存儲在樹中 Θ(log d) 深度處。
雙向隊列操作
指狀樹也可以製作高效的雙向隊列。無論結構是否持久,所有操作都需要 Θ(1) 時間。它可以被看作是的隱式雙端隊列的擴展1:
- 用 2-3 個節點替換對提供了足夠的靈活性來支持有效的串聯。(為了保持恆定時間的雙端隊列操作,必須將 Digit 擴展為四。)
- 用幺半羣(monoid)註釋內部節點允許有效的分裂。
1 2 3 4 5 | |
時間複雜度
手指樹提供了對樹的「手指」(葉子)的分攤常量時間訪問,這是存儲數據的地方,以及在較小部分的大小中連接和拆分對數時間。它還在每個內部節點中存儲對其後代應用一些關聯操作的結果。存儲在內部節點中的「摘要」數據可用於提供除樹之外的數據結構的功能。
| 操作 | 手指樹 | 註釋 2-3 樹 (annotated 2-3 tree) | 列表(list) | 向量(vector) |
|---|---|---|---|---|
const,snoc |
\(O(1)\) | \(O(\log n)\) | \(O(1)\)/\(O(n)\) | \(O(n)\) |
viewl,viewr |
\(O(1)\) | \(O(\log n)\) | \(O(1)\)/\(O(n)\) | \(O(1)\) |
measure/length |
\(O(1)\) | \(O(1)\) | \(O(n)\) | \(O(1)\) |
append |
\(O(\log \min(l1, l2))\) | \(O(\log n)\) | \(O(n)\) | \(O(m+n)\) |
split |
\(O(\log \min(n, l-n))\) | \(O(\log n)\) | \(O(n)\) | \(O(1)\) |
replicate |
\(O(\log n)\) | \(O(\log n)\) | \(O(n)\) | \(O(n)\) |
fromList,toList,reverse |
\(O(l)\)/\(O(l)\)/\(O(l)\) | \(O(l)\) | \(O(1)\)/\(O(1)\)/\(O(n)\) | \(O(n)\) |
index |
\(O(\log \min(n, l-n))\) | \(O(\log n)\) | \(O(n)\) | \(O(1)\) |
應用
指狀樹可用於建造其他樹。例如,優先級隊列可以通過樹中子節點的最小優先級標記內部節點來實現,或者索引列表/數組可以通過節點的子節點中葉子的計數來標記節點來實現。其他應用包括隨機訪問序列(如下所述)、有序序列和區間樹。
手指樹可以提供平均 \(O(1)\) 的推、反轉、彈出,\(O(\log n)\) 追加和拆分;並且可以適應索引或排序序列。和所有函數式數據結構一樣,它本質上是持久的;也就是説,始終保留舊版本的樹。
對於代碼實現,Haskell 核心庫中的有限序列 Seq 的實現使用了 2-3 手指樹(Data.Sequence),OCaml 中 BatFingerTree 模塊的 實現 也使用了通用手指樹數據結構。手指樹可以使用或不使用惰性求值來實現,但惰性允許更簡單的實現。
參考資料與拓展閲讀
- Ralf Hinze and Ross Paterson, "Finger trees: a simple general-purpose data structure", Journal of Functional Programming 16:2 (2006) pp 197-217.
- Finger Tree - Wikipedia
-
Purely Functional Data Structures, Chris Okasaki (1999) ↩
本页面最近更新:,更新历史
发现错误?想一起完善? 在 GitHub 上编辑此页!
本页面贡献者:isdanni
本页面的全部内容在 CC BY-SA 4.0 和 SATA 协议之条款下提供,附加条款亦可能应用