霍夫曼樹
樹的帶權路徑長度
設二叉樹具有 \(n\) 個帶權葉結點,從根結點到各葉結點的路徑長度與相應葉節點權值的乘積之和稱為 樹的帶權路徑長度(Weighted Path Length of Tree,WPL)。
設 \(w_i\) 為二叉樹第 \(i\) 個葉結點的權值,\(l_i\) 為從根結點到第 \(i\) 個葉結點的路徑長度,則 WPL 計算公式如下:
\[
WPL=\sum_{i=1}^nw_il_i
\]

如上圖所示,其 WPL 計算過程與結果如下:
\[
WPL=2*2+3*2+4*2+7*2=4+6+8+14=32
\]
結構
對於給定一組具有確定權值的葉結點,可以構造出不同的二叉樹,其中,WPL 最小的二叉樹 稱為 霍夫曼樹(Huffman Tree)。
對於霍夫曼樹來説,其葉結點權值越小,離根越遠,葉結點權值越大,離根越近,此外其僅有葉結點的度為 \(0\),其他結點度均為 \(2\)。
霍夫曼算法
霍夫曼算法用於構造一棵霍夫曼樹,算法步驟如下:
- 初始化:由給定的 \(n\) 個權值構造 \(n\) 棵只有一個根節點的二叉樹,得到一個二叉樹集合 \(F\)。
- 選取與合併:從二叉樹集合 \(F\) 中選取根節點權值 最小的兩棵 二叉樹分別作為左右子樹構造一棵新的二叉樹,這棵新二叉樹的根節點的權值為其左、右子樹根結點的權值和。
- 刪除與加入:從 \(F\) 中刪除作為左、右子樹的兩棵二叉樹,並將新建立的二叉樹加入到 \(F\) 中。
- 重複 2、3 步,當集合中只剩下一棵二叉樹時,這棵二叉樹就是霍夫曼樹。

霍夫曼編碼
在進行程序設計時,通常給每一個字符標記一個單獨的代碼來表示一組字符,即 編碼。
在進行二進制編碼時,假設所有的代碼都等長,那麼表示 \(n\) 個不同的字符需要 \(\left \lceil \log_2 n \right \rceil\) 位,稱為 等長編碼。
如果每個字符的 使用頻率相等,那麼等長編碼無疑是空間效率最高的編碼方法,而如果字符出現的頻率不同,則可以讓頻率高的字符采用盡可能短的編碼,頻率低的字符采用盡可能長的編碼,來構造出一種 不等長編碼,從而獲得更好的空間效率。
在設計不等長編碼時,要考慮解碼的唯一性,如果一組編碼中任一編碼都不是其他任何一個編碼的前綴,那麼稱這組編碼為 前綴編碼,其保證了編碼被解碼時的唯一性。
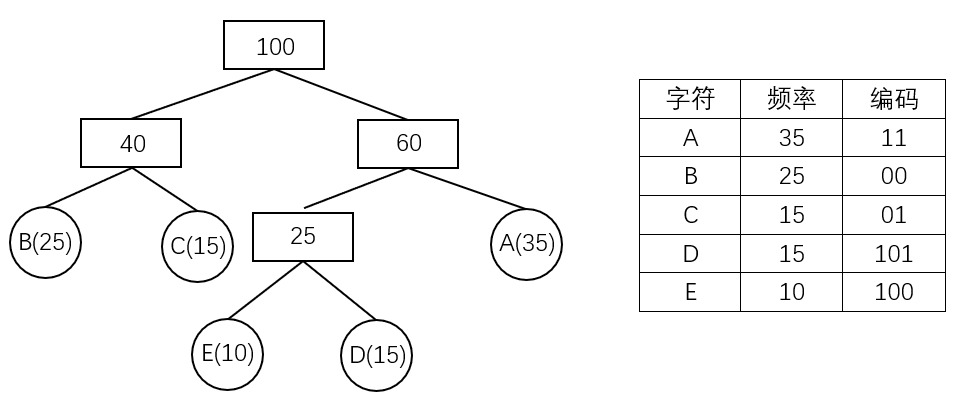
霍夫曼樹可用於構造 最短的前綴編碼,即 霍夫曼編碼(Huffman Code),其構造步驟如下:
- 設需要編碼的字符集為:\(d_1,d_2,\dots,d_n\),他們在字符串中出現的頻率為:\(w_1,w_2,\dots,w_n\)。
- 以 \(d_1,d_2,\dots,d_n\) 作為葉結點,\(w_1,w_2,\dots,w_n\) 作為葉結點的權值,構造一棵霍夫曼樹。
- 規定哈夫曼編碼樹的左分支代表 \(0\),右分支代表 \(1\),則從根結點到每個葉結點所經過的路徑組成的 \(0\)、\(1\) 序列即為該葉結點對應字符的編碼。

示例代碼
霍夫曼樹的構建
1
2
3
4
5
6
7
8
9
10
11
12
13
14
15
16
17
18
19
20
21
22
23
24
25
26
27
28
29
30
31
32
33
34
35
36
37
38
39
40
41
42
43
44
45
46
47
48
49
50
51 | typedef struct HNode {
int weight;
HNode *lchild, *rchild;
} * Htree;
Htree createHuffmanTree(int arr[], int n) {
Htree forest[N];
Htree root = NULL;
for (int i = 0; i < n; i++) { // 將所有點存入森林
Htree temp;
temp = (Htree)malloc(sizeof(HNode));
temp->weight = arr[i];
temp->lchild = temp->rchild = NULL;
forest[i] = temp;
}
for (int i = 1; i < n; i++) { // n-1 次循環建哈夫曼樹
int minn = -1, minnSub; // minn 為最小值樹根下標,minnsub 為次小值樹根下標
for (int j = 0; j < n; j++) {
if (forest[j] != NULL && minn == -1) {
minn = j;
continue;
}
if (forest[j] != NULL) {
minnSub = j;
break;
}
}
for (int j = minnSub; j < n; j++) { // 根據 minn 與 minnSub 賦值
if (forest[j] != NULL) {
if (forest[j]->weight < forest[minn]->weight) {
minnSub = minn;
minn = j;
} else if (forest[j]->weight < forest[minnSub]->weight) {
minnSub = j;
}
}
}
// 建新樹
root = (Htree)malloc(sizeof(HNode));
root->weight = forest[minn]->weight + forest[minnSub]->weight;
root->lchild = forest[minn];
root->rchild = forest[minnSub];
forest[minn] = root; // 指向新樹的指針賦給 minn 位置
forest[minnSub] = NULL; // minnSub 位置為空
}
return root;
}
|
計算構成霍夫曼樹的 WPL
1
2
3
4
5
6
7
8
9
10
11
12
13
14
15
16
17
18 | typedef struct HNode {
int weight;
HNode *lchild, *rchild;
} * Htree;
int getWPL(Htree root, int len) { // 遞歸實現,對於已經建好的霍夫曼樹,求 WPL
if (root == NULL)
return 0;
else {
if (root->lchild == NULL && root->rchild == NULL) // 葉節點
return root->weight * len;
else {
int left = getWPL(root->lchild, len + 1);
int right = getWPL(root->rchild, len + 1);
return left + right;
}
}
}
|
對於未建好的霍夫曼樹,直接求其 WPL
1
2
3
4
5
6
7
8
9
10
11
12
13
14
15
16 | int getWPL(int arr[], int n) { // 對於未建好的霍夫曼樹,直接求其 WPL
priority_queue<int, vector<int>, greater<int>> huffman; // 小根堆
for (int i = 0; i < n; i++) huffman.push(arr[i]);
int res = 0;
for (int i = 0; i < n - 1; i++) {
int x = huffman.top();
huffman.pop();
int y = huffman.top();
huffman.pop();
int temp = x + y;
res += temp;
huffman.push(temp);
}
return res;
}
|
對於給定序列,計算霍夫曼編碼
1
2
3
4
5
6
7
8
9
10
11
12
13
14
15
16
17
18
19 | typedef struct HNode {
int weight;
HNode *lchild, *rchild;
} * Htree;
void huffmanCoding(Htree root, int len, int arr[]) { // 計算霍夫曼編碼
if (root != NULL) {
if (root->lchild == NULL && root->rchild == NULL) {
printf("結點為 %d 的字符的編碼為: ", root->weight);
for (int i = 0; i < len; i++) printf("%d", arr[i]);
printf("\n");
} else {
arr[len] = 0;
huffmanCoding(root->lchild, len + 1, arr);
arr[len] = 1;
huffmanCoding(root->rchild, len + 1, arr);
}
}
}
|
本页面最近更新:,更新历史
发现错误?想一起完善? 在 GitHub 上编辑此页!
本页面贡献者:Alex-McAvoy
本页面的全部内容在 CC BY-SA 4.0 和 SATA 协议之条款下提供,附加条款亦可能应用